Предмет: Алгебра, автор: gorynich

Решите уравнения пожалуйста

Приложения:

Ответы

Автор ответа: nelle987
0
log_{0.2}(-x^2+4x+5)=log_{0.2}(-x-31)\
begin{cases}-x^2+4x+5=-x-31\
-x-31>0end{cases}\
begin{cases}x^2-5x-36=0\x<-31end{cases}\
boxed{xinvarnothing}

log_{18}log_2log_34x=0\
log_2log_34x=18^0=1\
log_34x=2^1=2\
4x=3^2=9\
boxed{x=dfrac94}

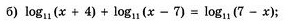
Чтобы правая часть существовала, необходимо x < 7, а для левой - x > 7. Решений нет.
Автор ответа: Аноним
0
А можете еще везде ОДЗ сделать
Автор ответа: nelle987
0
А зачем?
Похожие вопросы
Предмет: Английский язык, автор: akbayanmarlenkyzy