Предмет: Алгебра,
автор: vikaa15
(3x-6) (x-x квадрат) > 0
Ответы
Автор ответа:
0
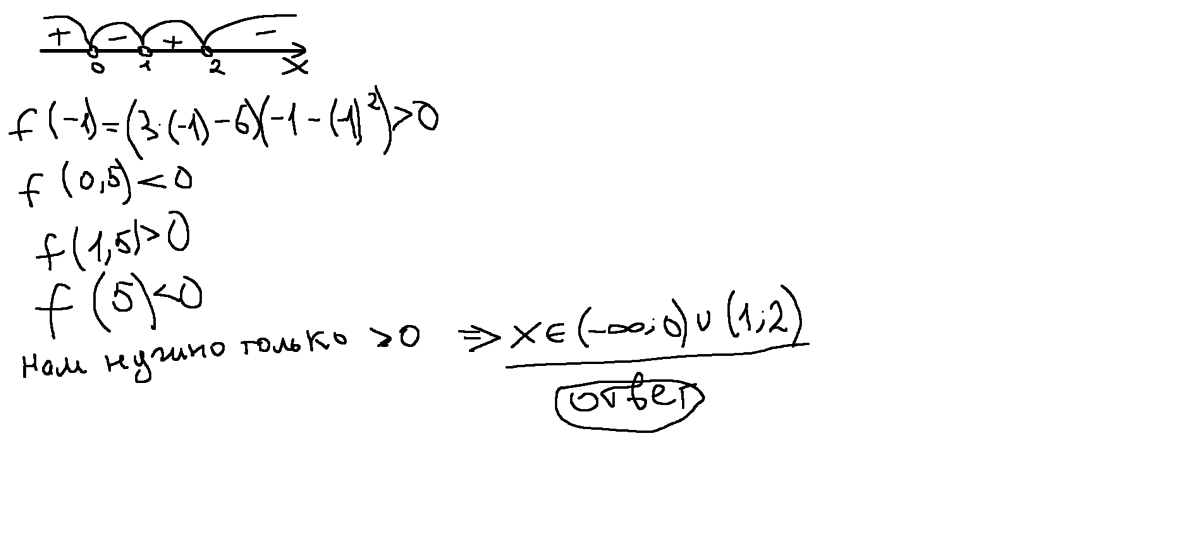
(3x-6)(x-x²)>0
f(x)=(3x-6)(x-x²)
f(x)=0
3x-6=0 x-x²=0
3x=6 x(1-x)=0
x=2 x=0 x=1
Дальше на картинке
f(x)=(3x-6)(x-x²)
f(x)=0
3x-6=0 x-x²=0
3x=6 x(1-x)=0
x=2 x=0 x=1
Дальше на картинке
Приложения:
Похожие вопросы
Предмет: География,
автор: mi22290
Предмет: Русский язык,
автор: Аноним
Предмет: Другие предметы,
автор: krasnoperov200
Предмет: Информатика,
автор: madisondreams
Предмет: Химия,
автор: chernishvika