Предмет: Геометрия,
автор: listen646
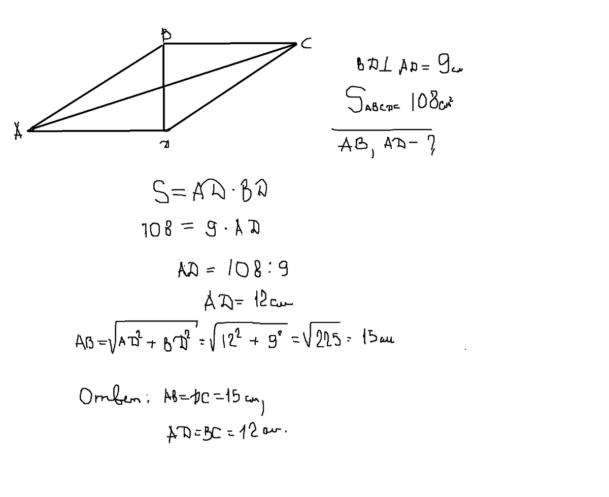
Одна из диагоналей параллелограма является его высотой и равна 9 см . Найдите стороны этого параллелограмма , если его площадь равна 108 см квадратных.
Ответы
Автор ответа:
0
решение в приложенном файле
Приложения:
Автор ответа:
0
благодрю)
Похожие вопросы
Предмет: Геометрия,
автор: IWantUrSoulgamin
Предмет: Английский язык,
автор: teamdestroypm
Предмет: История,
автор: gr30vas30
Предмет: Математика,
автор: SportCraft56