Предмет: Математика,
автор: ЕвгещЯ
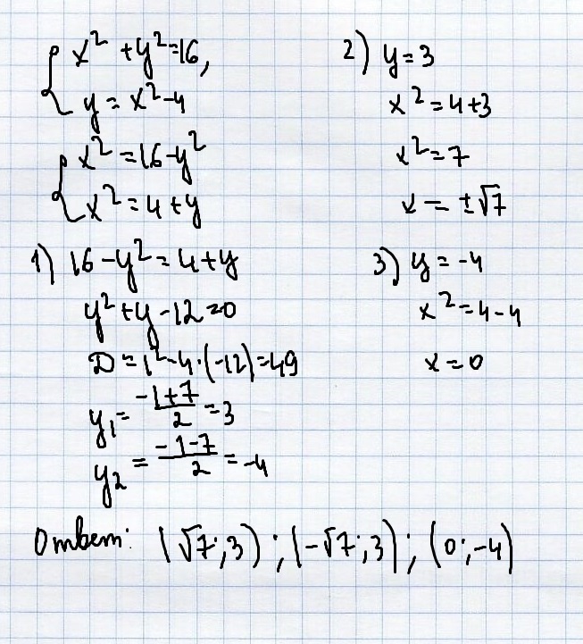
Решите систему уравнений способом подстановки:
х²+у²=16,
у=х²-4
Подробнее,прошу.
Ответы
Автор ответа:
0
.............................
Приложения:
Похожие вопросы
Предмет: Информатика,
автор: bankovskijegor3
Предмет: Русский язык,
автор: Pasainomov
Предмет: Немецкий язык,
автор: abasevadinara1
Предмет: Математика,
автор: frolovzlt
Предмет: Математика,
автор: HelenSovers