Предмет: Математика,
автор: 1998Svetochka
Высшая математика, помогите пожалуйста.
Приложения:
Ответы
Автор ответа:
0
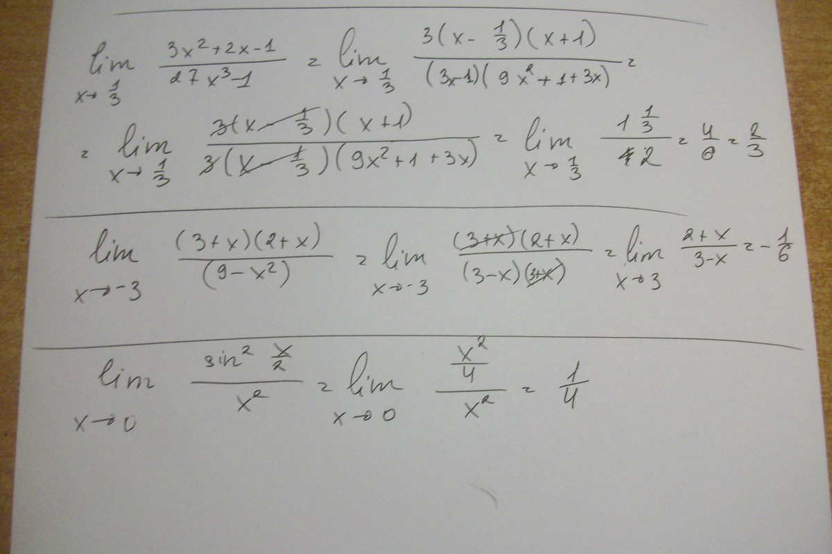
во вложении............1 не получается
Приложения:
Автор ответа:
0
Спасибо огромное
Автор ответа:
0
пожалуйста
Похожие вопросы
Предмет: Информатика,
автор: Аноним
Предмет: Химия,
автор: apravkinanatala
Предмет: География,
автор: aikhimbekovas
Предмет: Биология,
автор: Аноним