Предмет: Алгебра,
автор: hackcheat
Помогите пожалуйста прошу!!!
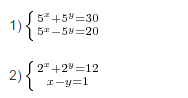
Решите уравнения:
Приложения:
Ответы
Автор ответа:
0
во вложении....................
Приложения:
Автор ответа:
0
Спасибо тебе огромное! ты не представляешь как ты мне помогла)
Автор ответа:
0
пожалуйста)
Похожие вопросы
Предмет: Алгебра,
автор: malyavko07
Предмет: Физкультура и спорт,
автор: tomasvik33
Предмет: Геометрия,
автор: Аноним
Предмет: Математика,
автор: НастюФка23