Предмет: Алгебра, автор: gulya268

нужно сегодня, помогите пожалуйста!

Приложения:

Ответы

Автор ответа: Aslanchik20
0
...............................
Приложения:
Автор ответа: Dontsaylazy
0
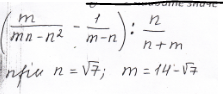
( frac{m}{n(m-n)}  -  frac{n}{n(m-n)} ) *  frac{n+m}{n}
 frac{m-n}{n(m-n)}  *  frac{n+m}{n}
 frac{m+n}{ n^{2} }
Подставляем n и m
 frac{14- sqrt{7} +  sqrt{7}  }{7}
 frac{14}{7} =2
Приложения:
Похожие вопросы
Предмет: Математика, автор: Zaxxara