Предмет: Математика,
автор: Slaaaaag
Помогите решить, пожалуйста! Хоть одно задание)
Приложения:
Ответы
Автор ответа:
0
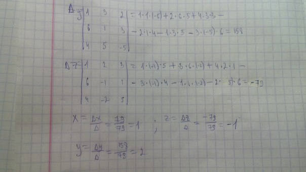
Я смогла решить этот пример.
3.а)
3.а)
Приложения:
Похожие вопросы
Предмет: Физика,
автор: TenyOnTheBeat
Предмет: История,
автор: valentainksenia35
Предмет: Математика,
автор: evgeniiandreev2008
Предмет: Обществознание,
автор: EgorkaSosnin
Предмет: Биология,
автор: mkhokholova