Предмет: Информатика,
автор: Procrastination
кто хорошо владеет с Maple?
нужна помощь
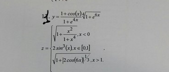
1. Построить график функции
2. Построить поверхность
3. Построить алгебраические трансцендентные линии
4. Построить поверхность второго порядка
Приложения:
Ответы
Автор ответа:
0
Скрины во вложениях.
Приложения:
Похожие вопросы
Предмет: Информатика,
автор: antonuk2708
Предмет: Математика,
автор: mbulatowaa
Предмет: Английский язык,
автор: Аноним
Предмет: Алгебра,
автор: Алекс5
Предмет: Математика,
автор: Natusj