Предмет: Алгебра,
автор: nikuser
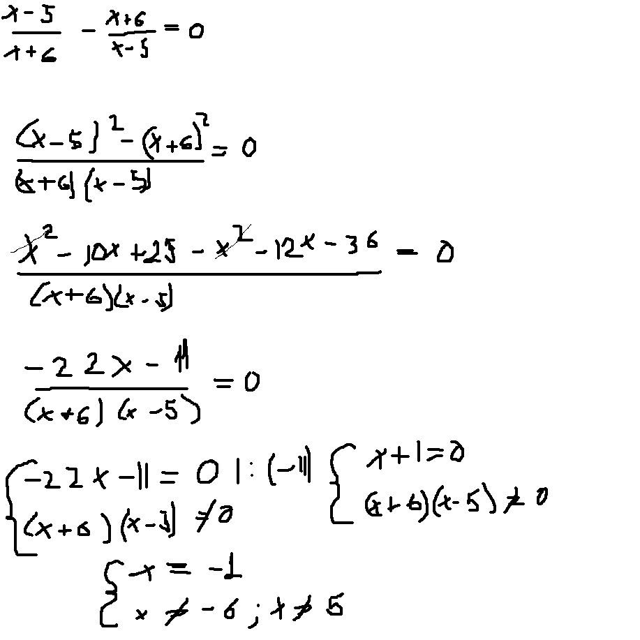
Решите уравнение:
Ответы
Автор ответа:
0
Решение вашего уравнения ниже, на картинке.
Приложения:
Похожие вопросы
Предмет: Английский язык,
автор: kamilagevorkan3
Предмет: Русский язык,
автор: VeronikaPopandopylo1
Предмет: Алгебра,
автор: blushlass5
Предмет: Алгебра,
автор: ВАМПИР1111111
Предмет: История,
автор: olkakorolova