Предмет: Алгебра,
автор: djemol
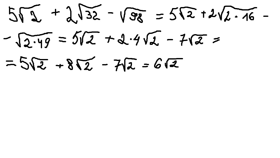
Упростите выражение: пять корень из двух плюс два корень из тридцати двух минус корень из девяноста восьми
Ответы
Автор ответа:
0
Ответ: шесть корней из двух.
*Решение во вложении*
*Решение во вложении*
Приложения:
Похожие вопросы
Предмет: Алгебра,
автор: apelsinkaa58
Предмет: Английский язык,
автор: umniknasvobode
Предмет: Биология,
автор: tahmida
Предмет: Алгебра,
автор: 656maria