Предмет: Алгебра, автор: ViktoriaLeve

Решите систему уравнения
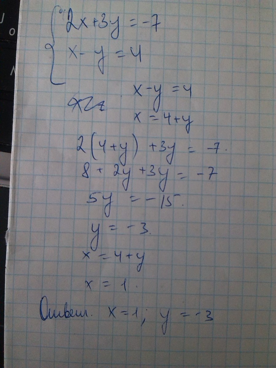
2х+3у=-7
Х-у=4
Пожалуйста:)

Ответы

Автор ответа: dashaokeina
0
если разобраться, то это очень легко))

Приложения:
Автор ответа: dashaokeina
0
добавила в решение)
Автор ответа: timon4567
0
блин у меня телефон
Автор ответа: ViktoriaLeve
0
Большое спасибо за ответ:) я хоть половину заданий зделала:))
Автор ответа: dashaokeina
0
у тебя контрольная что ли?
Автор ответа: ViktoriaLeve
0
Нет, дз дали на карточке)
Похожие вопросы
Предмет: Литература, автор: islamakbalys
Предмет: Математика, автор: lollolhet
Предмет: Алгебра, автор: ksuhaartamonova947