Предмет: Алгебра,
автор: Аноним
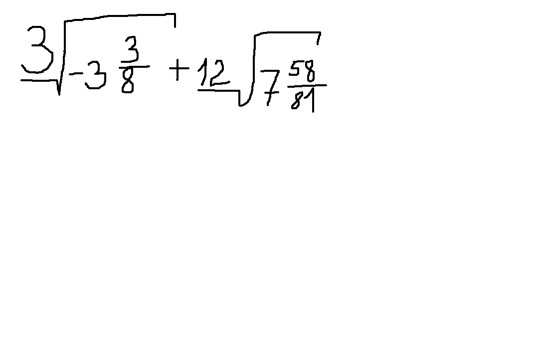
найдите значение выражения пример написан во вложение
Приложения:
Ответы
Автор ответа:
0
корень кубический(-27/8)+корень12(625/81)=
=-3/2+корень6(25/9)=
=-3/2+корень3(5/3)
Похожие вопросы
Предмет: Математика,
автор: aleksandrhairov70
Предмет: Другие предметы,
автор: Аноним
Предмет: Алгебра,
автор: almazsaha23
Предмет: Математика,
автор: Аноним
Предмет: История,
автор: Alice001