Предмет: Геометрия,
автор: marico1997
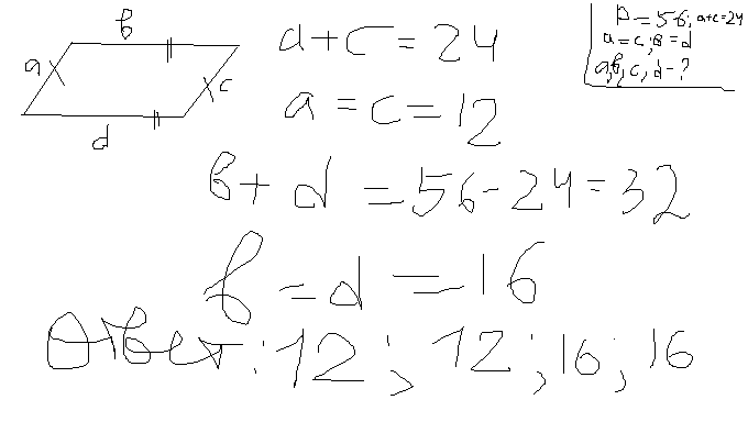
сумма двух сторон параллелограмма равна 24 см а периметр -56 см наити стороны параллелограмма
Ответы
Автор ответа:
0
см.рисунок...............................................
Приложения:
Похожие вопросы
Предмет: Математика,
автор: sad456
Предмет: География,
автор: norashen83
Предмет: Українська мова,
автор: privet8165
Предмет: История,
автор: elena1q2w3e4r5t
Предмет: Физика,
автор: Intelekt