Предмет: Алгебра,
автор: 351156z
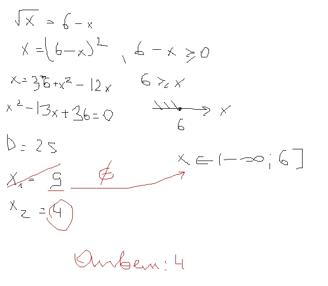
помогите решить пожалуйста корень из х = 6 - х
Ответы
Автор ответа:
0
.........................................................................................
Приложения:
Похожие вопросы
Предмет: Информатика,
автор: veronika15724
Предмет: Биология,
автор: kimkira030310
Предмет: Математика,
автор: mgubanov03
Предмет: Биология,
автор: tatok12