Предмет: Алгебра,
автор: id519
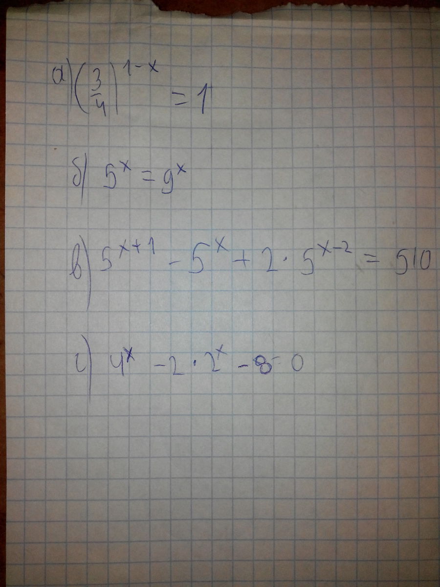
Помогите, пожалуйста решить показательные уравнение
Приложения:
Ответы
Автор ответа:
0
a) 1 - x = 0, x = 1
б) ( 5 / 9 )^x = 1, x = 0
в) 5^(x-2) = t, 5^3 * t - 5^2 * t + 2t = 510, t( 125 - 25 + 2 ) = 510, t = 5,
5^( x - 2 ) = 5, x - 2 = 1 , x = 3
г ) 2^x = t, t^2 - 2t - 8 = 0, t1 = 4, t2 = -2, 2^x = 4, x = 2, 2^x = -2 ( нет решения, если не проходили комплексные числа )
б) ( 5 / 9 )^x = 1, x = 0
в) 5^(x-2) = t, 5^3 * t - 5^2 * t + 2t = 510, t( 125 - 25 + 2 ) = 510, t = 5,
5^( x - 2 ) = 5, x - 2 = 1 , x = 3
г ) 2^x = t, t^2 - 2t - 8 = 0, t1 = 4, t2 = -2, 2^x = 4, x = 2, 2^x = -2 ( нет решения, если не проходили комплексные числа )
Похожие вопросы
Предмет: Математика,
автор: Аноним
Предмет: Биология,
автор: uliapermakova01
Предмет: История,
автор: WkolbnbIe3nanuya
Предмет: Математика,
автор: Sivolapinna