Предмет: Алгебра,
автор: Аноним
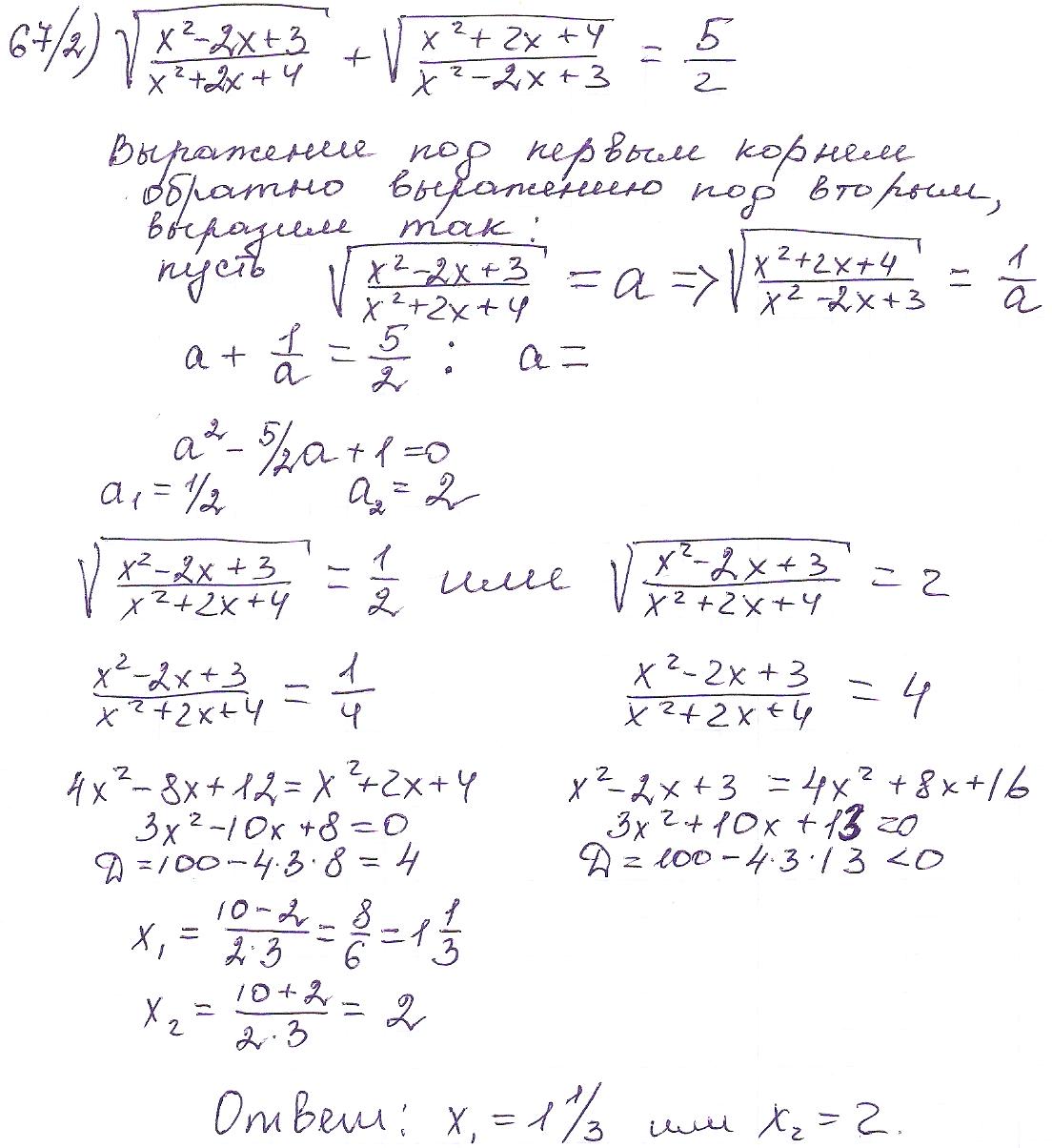
упр 67 (2) решение подробнее пожалуйста, от этого зависит моя четвертная оценка:(
Приложения:
Ответы
Автор ответа:
0
я попробывала решить этот пример, во вложении посмотрите
Приложения:
Похожие вопросы
Предмет: История,
автор: Аноним
Предмет: Литература,
автор: usupovaanagizs
Предмет: Физика,
автор: dariakyseliova3003
Предмет: Физика,
автор: ReimannHorn3
Предмет: Химия,
автор: дево4ка98