Предмет: Алгебра,
автор: Мелисca
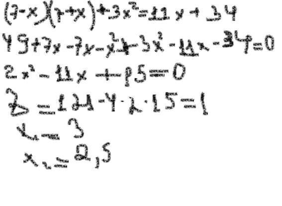
Решите уравнение
(7-х)(7+х)+3х^2=11х+34
Ответы
Автор ответа:
0
х1 и х2 это ответы
3 и 2,5
3 и 2,5
Приложения:
Похожие вопросы
Предмет: Математика,
автор: nikross98
Предмет: География,
автор: turkmenbaevaaigul
Предмет: Химия,
автор: P4EJLA
Предмет: Математика,
автор: каляй
Предмет: Математика,
автор: эльвина23