Предмет: Математика,
автор: Аноним
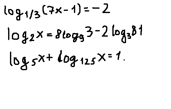
Решите уравнения пожалуйста...Срочно надо их решить
Приложения:
Ответы
Автор ответа:
0
решение смотри на фотографии
Приложения:
Автор ответа:
0
О мой бог! Как ты меня выручила...Спасибо большое!
Похожие вопросы
Предмет: Геометрия,
автор: albin8841
Предмет: Математика,
автор: antonlodzlv34
Предмет: Қазақ тiлi,
автор: shuaqqairjan
Предмет: Алгебра,
автор: vladyusupov19