Предмет: Алгебра,
автор: anna131313
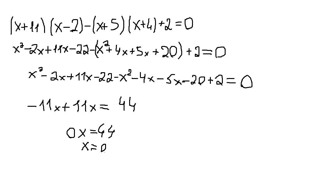
Розв`язати рівняння : (х+11)(х-2)-(х+5)(х+4)=-2
Ответы
Автор ответа:
0
(х2-2х+11х-22)-(х2+4х+5х+20)=-2
х2-2х+11х-22-х2-4х-5х-20+2=0
40
х2-2х+11х-22-х2-4х-5х-20+2=0
40
Автор ответа:
0
розв язав
......................................................
......................................................
Приложения:
Похожие вопросы
Предмет: Математика,
автор: nastya2005609727i
Предмет: Қазақ тiлi,
автор: areentop70
Предмет: Українська мова,
автор: karinakramar66
Предмет: Обществознание,
автор: donatella12
Предмет: История,
автор: putya1975