Предмет: Алгебра,
автор: AlenaMisa25
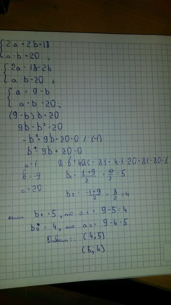
помогите подробно решить систему уравнений:
2а+2b=18
a*b=20
Ответы
Автор ответа:
0
...............................................
Приложения:
Похожие вопросы
Предмет: Информатика,
автор: ratmibychek
Предмет: Русский язык,
автор: tamina97
Предмет: Английский язык,
автор: anarbaevnazar068
Предмет: Геометрия,
автор: Анжелика2910200