Предмет: Математика,
автор: Кристаллик
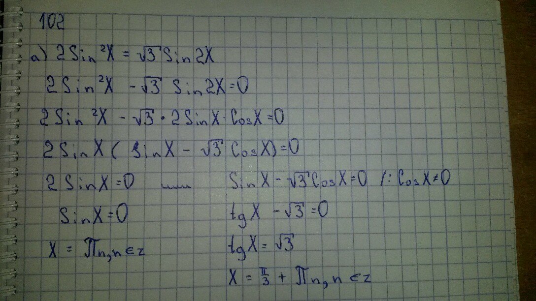
102 задача, помогите, тригономические уравнения
Приложения:
Ответы
Автор ответа:
0
....................................................
Приложения:
Автор ответа:
0
большое вам спасибо))
Похожие вопросы
Предмет: Математика,
автор: GGVPPRO
Предмет: Русский язык,
автор: sofaholod4
Предмет: История,
автор: varvarasmalenskaia
Предмет: Литература,
автор: Аноним
Предмет: Литература,
автор: lyudmila1985