Предмет: Экономика,
автор: yarmonova00
помогите решить что нибудь
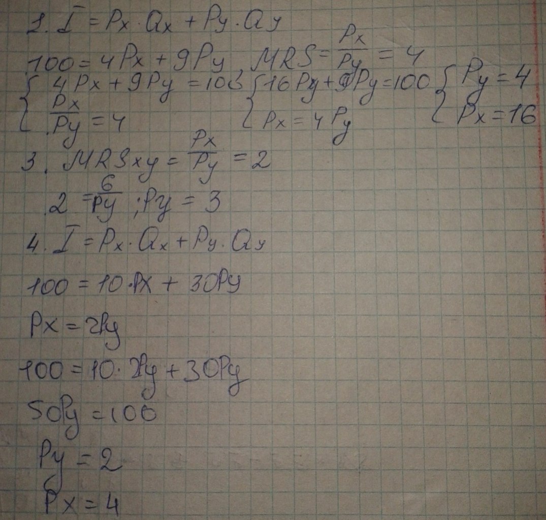
Индивид покупает 4 единицы блага Х и 9 единиц блага У, имея доход,
равный 100 денежных единиц. Найти цены товаров Х и У, если известно, что
предельная норма замены равна 4.
3. Предельная норма замены в точке оптимума потребителя равна 2, а
цена товара Х равна 6 денеж11ьпс единиц. Найти цену товара У.
4. Найти цены товара Х и У, если известно, что доход потребителя равен
100 денежньк единиц, объем потребления товаров Х и У соответственно 10 и
30, а цена товара Х в 2 раза больше цены товара У.
5. Предположим, что предельная полезность в расчете на I рубль у ру-
баипси - 5 единиц, а у пары ботинок -10 единиц. Досгигаете ли Вы равнове-
сия при потреблении этих двух товаров? Нарисуйте кривые безразличия для
этих двух товаров, покажите почему приведенные данные о предельной
полезности и цене соответствуют пересечению вашей бюджетной линии и
кривой безразличия. Как вы должны перестротъ потребление этих товаров,
чтобы достичь равновесия?
Ответы
Автор ответа:
0
Решение во вложении.
Ответы:
1. Цена товара х=16, а товара у=4 денежных единиц
3. Цена товара у=3 денежных единицы
4. Цена товара х=4, а товара у=2 денежных единиц
Ответы:
1. Цена товара х=16, а товара у=4 денежных единиц
3. Цена товара у=3 денежных единицы
4. Цена товара х=4, а товара у=2 денежных единиц
Приложения:
Автор ответа:
0
спасибо,но можно само решение( пожалуйста
Автор ответа:
0
простите не увидела) огромное спасибо)
Похожие вопросы
Предмет: Химия,
автор: zaripowaramilia2017
Предмет: Математика,
автор: Аноним
Предмет: Русский язык,
автор: bekabaikenov560
Предмет: Математика,
автор: janakogan
Предмет: Литература,
автор: kungurova01