Предмет: Физика,
автор: tanyua2384
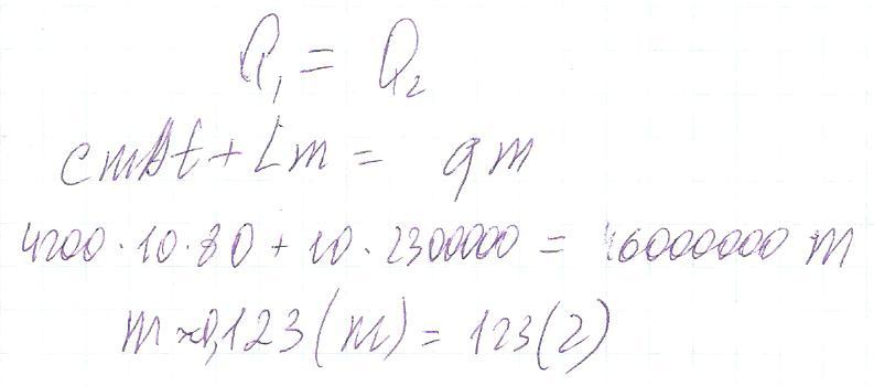
сколько керосина необходимо сжечь, для того чтобы 10 кг воды при 20 градусов нагреть до кипения и 1 кг ее обратить в пар
Ответы
Автор ответа:
0
надеюсь будет понятно.......
Приложения:
Похожие вопросы
Предмет: Другие предметы,
автор: zarinakalybaeva76
Предмет: Обществознание,
автор: malishka53
Предмет: Математика,
автор: p59665423
Предмет: Алгебра,
автор: Ilfateu
Предмет: Биология,
автор: smile156