Предмет: Физика,
автор: eroxa0932
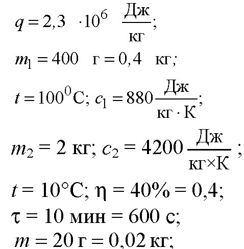
Алюминиевый чайник массой 400 г, в котором находится 2 кг воды при 10оС, помещают на газовую горелку с КПД 40%. Какова мощность горелки, если через 10 мин вода закипела, причем 20 г воды выкипело?
Ответы
Автор ответа:
0
1 картинка Дано
и там найти N
2 картинка Решение
3 картинка ответ
и там найти N
2 картинка Решение
3 картинка ответ
Приложения:
Похожие вопросы
Предмет: Физика,
автор: islambabenov
Предмет: Математика,
автор: Аноним
Предмет: История,
автор: vikakostyuk41
Предмет: Физика,
автор: ekat05
Предмет: Биология,
автор: evgenia542