Предмет: Математика, автор: alinatigranyan

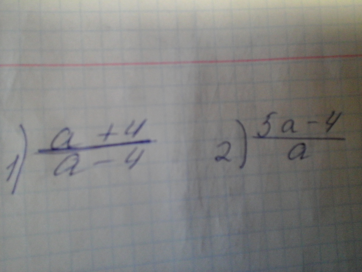
найдите значение а, при котором значение дроби равно нулю.

Приложения:

Ответы

Автор ответа: yulia260976
0
дробь равняется нулю,когда числитель равен нулю.В первом случае а+4=0,а=-4,во втором 5а-4=0,а=0,8
Автор ответа: alinatigranyan
0
в первом мне так и оставлять да
Автор ответа: yulia260976
0
а=-4
Похожие вопросы
Предмет: Оʻzbek tili, автор: Beelbe

1 U adib, shoir, olim bo’lish bilan birga, yirik davlat arbobi va sarkarda hamdir.
Gap qaysi adib haqida

A. A. Navoiy B A. Qodiriy C. Z.M. Bobur D. G’. G’ulom

2 Kesim boshqa so’zlar bilan ifodalanganda qanday qo’shimchani oladi?

A –dir B –gan C –da D –im

3 “O’tkan kunlar” asarining muallifi kim?

A A. Oripov B A. Qodiriy C Z.M. Bobur D G’. G’ulom

4 “Vodiylarni yayov kezganda” misralari bilan boshlanuvchi she’r kimning qalamiga mansub?

A A. Oripov B Hamid Olimjon C Zulfiya D G’. G’ulom

5 Murakkab fe’l-kesim ishtirok etgan gapni aniqlang.
A U bugun maktabga kechikib keldi B Darsdan so’ng kutubxonaga boraman
C Mayin shamol esmoqda D Do’stlik barcha boylikdan afzal
6 Qaysi gapda ot-kesim qo’llanilgan?
A Biz safardan ancha kech qaytdik B Maktabimizga yangi rusumli kompyuterlar keltirildi.
C Hovlining atrofi toza D Men bir asarni o’qib bo’ldim
7 Davlat ramzlari haqida qomusimizning qaysi moddasida berilgan?

A 66-modda B 6-modda C 5-modda D. 29-modda
8 Gapni davom ettiring. Inson o’z hayot yo’lini to’g’ri topishi uchun, …
A uning mohir uztozi bo’lishi lozim.
B. o’z istagi va qobiliyatiga yarasha kasbni tanlashi lozim.
C sport musobaqalaridan saboq beraman. D. yaxshi tarjimon edi
9 Ushbu parcha qaysi matndan olingan? Respublikamizning yer bag’ridan topilgan va ishga tushirilgan tabiiy gaz, neft, oltin, mis, qo’rg’oshin, ruh, ko’mir va boshqa boyliklar katta ahamiyat kasb etmoqda.
A “O’zbekiston” B“Mustaqil O’zbekiston” C “Yoqilg’i sanoati” D “O’zbekiston sanoati”
10 Fe’l-kesim ravishdosh va sifatdosh bilan ifodalanishi mumkinmi?

A Ifodalanmaydi B Mutlaqo C Ifodalanadi D To’g’ri javob yo’q

11 Kim sutga “tabiat tomonidan tayyorlangan ovqat” deya baho bergan?
A G`afur G`ulom B akademik Pavlov C akademik Olimov D Javoharlal Neru
12 Ushbu misralar qaysi she’rdan olingan?
Ko’rkam ona tabiat, Doim tovlanib turgin
Senga etay itoat, Ko’p jilolanib turgin

A “Bahor” B “Tabiat” C “Ona tabiat” D “Tabiat, sen onamiz”

13 Gapdagi biror shaxs yoki narsa buyumni boshqa nom orqali ifodalaydigan bo’lak nima deb ataladi?

A Aniqlovchi B Izohlovchi C To’ldiruvchi D Aniqlanmish

14 Ko’makchi ishtirok etgan gapni toping.
A Baliq suv bilan tirik B Tabiatda har bir narsa o’z o’rniga ega
C Shahrimizda yirik korxonalar ishga tushirildi
D Barcha hozirgi zamon yangi texnikasi va texnologiyasi, asosan, lotin yozuviga asoslangan.
15 Maqolni davom ettiring. Bir yil tut ekkan kishi, …

A yuz yil gavhar teradi B duo bilan el ko’karar
C yuzta ko’chat ek D ming kishi suv ichadi

16 Ega sifatdosh bilan ifodalangan gapni toping.
A Ikkalasi birgalikda tayyorgarlik ko’rishdi B Qish faslining o’z gashti bor
C U bu uyda yashamaydi D Sayohatga boradiganlar birma-bir kela boshladi
17 Izohlovchi gapda nima bilan ifodalanadi?

A Ot bilan B Bosh kelishikdagi ot bilan C Kesim bilan D Aniqlovchi bilan

18 O’zbekistonda “EKOSAN” jamg’armasi qachon tashkil qilingan?

A 1992-yil B 1991-yil C 1990-yil D 1993-yil

19 Aniqlovchi qanday so’roqlarga javob eradi?
A Kimni? Nimani? Qayerni? Qayerga? B Qanday? Qanaqa? Qaysi? Qancha? Kimning? Nimaning? C Kimda? Nimada? Qayerda? D Nima qildi? Nima qiladi? Nima qilmoqchi?
20 O’zbekiston Respublikasining davlat tili o’zbek tilidir… degan fikr Konstitutsiyaning qaysi moddasida qabul qilingan? A 1-moddada B 5-moddada C 4-moddada D 41-moddada
21. Aniqlovchi ishtirok etgan gap tuzing
22. Samarqandda qanday tarixiy obidalar bor?
23. O’xshatish va xoslik ma’nolarini bildirgan izohlovchilar bilan izohlanmish o’rtasiga qanday tinish belgisi qo’yiladi?
24 Burch nima?
25 A. Navoiyning 5 ta dostondan iborat asari qanday nomlanadi?
Предмет: Английский язык, автор: Bmax593