Предмет: Алгебра,
автор: sashaariefiev
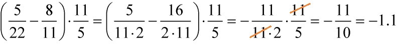
Найдите значение выражения (5/22-8/11)*11/5
Ответы
Автор ответа:
0
Решение смотрите во вложении
Приложения:
Автор ответа:
0
а скоко будет (5/22 - 8/11) * 11/24
Похожие вопросы
Предмет: Математика,
автор: niuij93ajx
Предмет: Математика,
автор: homaanatolii
Предмет: Биология,
автор: NatashaNikolaevna
Предмет: Алгебра,
автор: alenadryahlova
Предмет: История,
автор: Kristina0906