Предмет: Геометрия,
автор: dyuldin1999
Помогите решить.
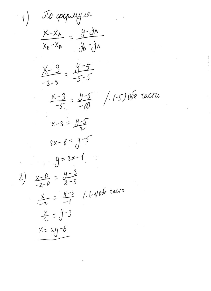
Запишите уравнение прямой:
1) A (3;5) B(-2;-5)
2) E(0;3) C(-2;2)
Ответы
Автор ответа:
0
Решение смотри в файле
Приложения:
Автор ответа:
0
Мы не решали по такой формуле. Мы решали по этой ax+by+c=0
Автор ответа:
0
Чтож, есть и такая формула. Можно решать и по этой ))
Похожие вопросы
Предмет: Алгебра,
автор: mlife7917
Предмет: Русский язык,
автор: fuad1635
Предмет: Алгебра,
автор: mviol240
Предмет: Математика,
автор: asd456asd
Предмет: Алгебра,
автор: alina9930