Предмет: Математика,
автор: владушка6
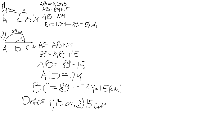
На луче АМ отложили отрезки АВ и АС, АС = 89 см.Найдите длину отрезка ВС, если: !)АВ на 15 см длинее АС; 2)АВ на 15 см короче АС.
Ответы
Автор ответа:
0
смотри рисунок..................
Приложения:
Похожие вопросы
Предмет: Алгебра,
автор: 89284336616l5
Предмет: Математика,
автор: krisartwc55156
Предмет: Музыка,
автор: liliaagafonova5
Предмет: Математика,
автор: lilia20111