Предмет: Алгебра,
автор: Sasara
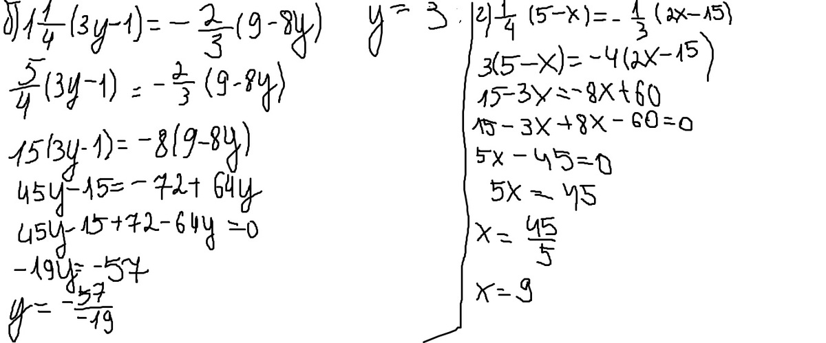
решите уравнения, умножив обе части на общий знаменатель всех дробей:
б) 1 целая1/4*(3y-1)=-2/3*(9-8y)
г) 1/4*(5-x)=-1/3*(2x-15)
д) 1целая1/3*(2y+5)=1/2*(3y+25)
Плиз реешите не могу никак
Ответы
Автор ответа:
0
Вот все решения и ответы:
Приложения:
Похожие вопросы
Предмет: Українська мова,
автор: bombik619
Предмет: Обществознание,
автор: trotcenkomaria
Предмет: Биология,
автор: E00
Предмет: Математика,
автор: inushka
Предмет: Биология,
автор: Enzhe02