Предмет: Алгебра, автор: 231332

разложить множители
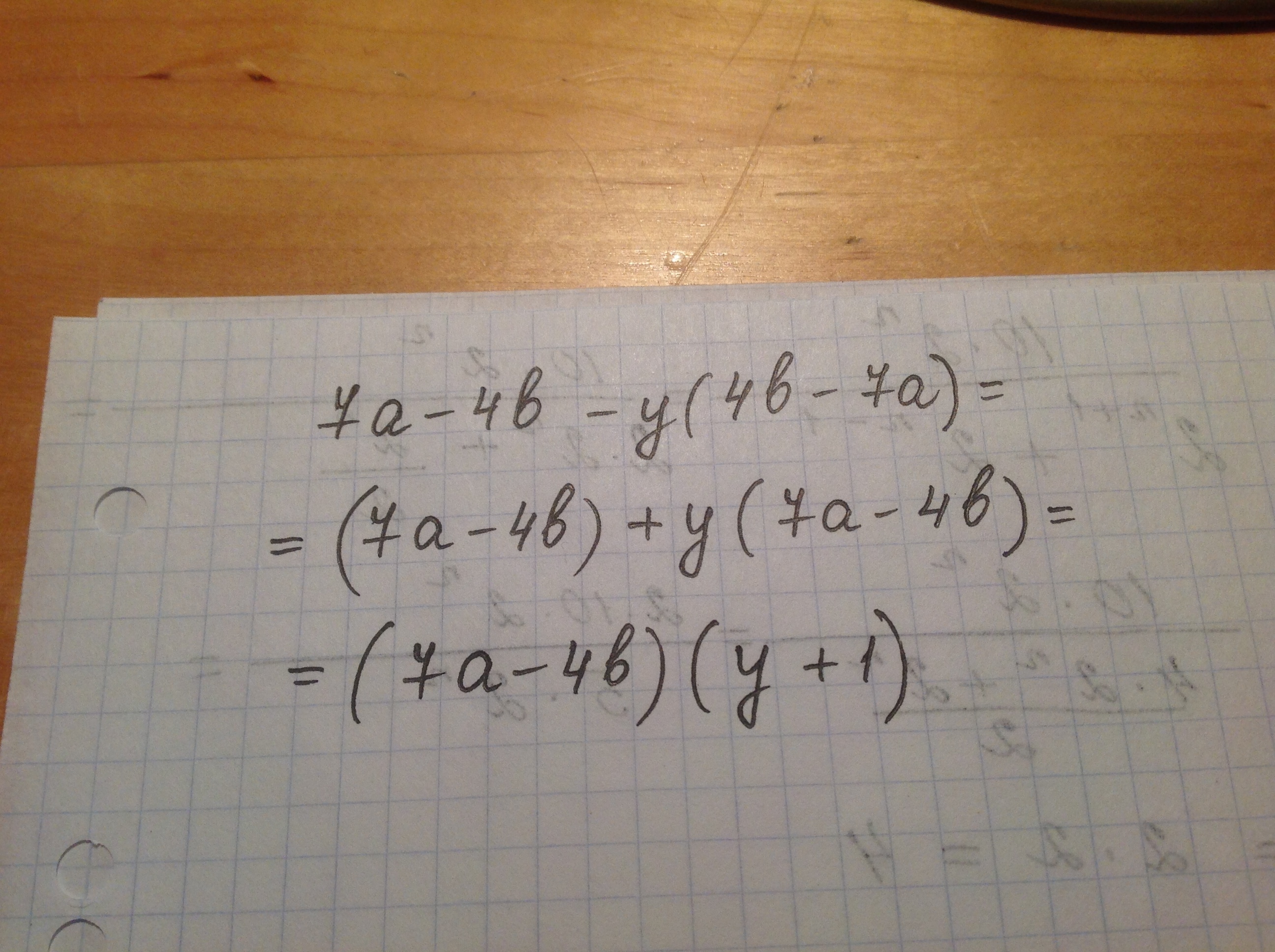
7a-4b-y(4b-7a)

Ответы

Автор ответа: ВладимирБ
0
Решение смотри на фото
Приложения:
Похожие вопросы
Предмет: Литература, автор: danialbolat4
А) Почему младший сын ушёл в другие страны?
Б) Каким можно назвать совет странника?
В) Объясни, что хотел донести автор до читателей с помощью данной притчи?
Г) Как ты понимаешь выражение «Добывать хлеб мастерством да наукой»?
Можете помочь пожалуйста это СОч внизу текст☟︎︎︎☟︎︎︎☟︎︎︎☟︎︎︎

У одного купца было два сына. Старший был любимец отца, и отец всё своё наследство хотел отдать ему. Мать жалела младшего сына и просила мужа поделить наследство поровну. Купец её не послушал. Один раз мать сидела у окна и плакала. К окну подошёл странник и спросил, о чём она плачет. «Как мне не плакать! – ответила мать. - Оба сына мне равны, а отец хочет одному сыну всё отдать, а другому – ничего. У меня нет денег, и я не знаю, как помочь горю». «Твоему горю легко помочь. Объяви сыновьям, что старшему достанется всё богатство, а меньшому – ничего». Младший сын ушёл в чужие страны и выучился разным наукам, а старший жил при отце и ничему не учился, потому что знал, что он богат. Когда отец умер, старший ничего не умел делать и скоро прожил всё своё богатство, а младший выучился добывать хлеб мастерством да наукой. Сам он хорошо жил, да и другим помогал.

Предмет: Математика, автор: Аноним