Предмет: Алгебра,
автор: Владдик22856
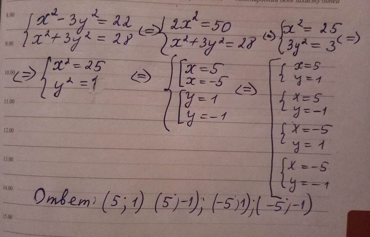
Решите систему уравнений методом алгебраического сложения.
{x^2-3y^2=22
{x^2+3y^2=28
Ответы
Автор ответа:
0
Ответ:
решение представлено на фото
Объяснение:
Приложения:
Похожие вопросы
Предмет: Английский язык,
автор: marsmisha
Предмет: Русский язык,
автор: vkrmlk
Предмет: Математика,
автор: dursunovadursunova
Предмет: Химия,
автор: zzzb