Предмет: Алгебра, автор: snikersalisa

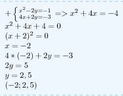
x^2-2y=-1
4x+2y=-3
система

Ответы

Автор ответа: Anastsiia
0
 +left { {{ x^{2} -2y=-1} atop {4x+2y=-3}} right. => x^{2} +4x=-4 \  x^{2} +4x+4=0 \ (x+2)^2=0 \ x=-2 \ 4*(-2)+2y=-3 \ 2y=5 \ y=2,5 \ (-2;2,5)
Приложения:
Похожие вопросы
Предмет: Биология, автор: daria4530
Предмет: Физика, автор: holdikgg641