Предмет: Химия,
автор: kjkszpj1
Помогите пожалуйста! Кто будет писать чушь, отмечу, как нарушение (я студент, 1 курс)
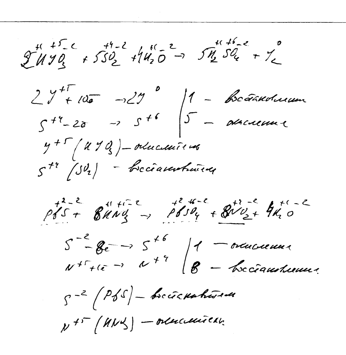
В приведенных ниже реакциях укажите окислитель и восстановитель. Составьте электронный баланс и на его основе уравняйте реакции.
HJO3+SO2+H2O=>H2SO4+J2,
PbS+HNO3=>PbSO4+NO2+H2O
Ответы
Автор ответа:
0
Успіхів!!!!!!!!!!!!
Успехов!!!!!!!!!!!!!!!!!!
Успехов!!!!!!!!!!!!!!!!!!
Приложения:
Похожие вопросы
Предмет: Алгебра,
автор: Аноним
Предмет: Қазақ тiлi,
автор: Аноним
Предмет: Математика,
автор: YmNoNeZnAiKa321
Предмет: Информатика,
автор: lorikbln
Предмет: Литература,
автор: nusaw