Предмет: Алгебра,
автор: apwave
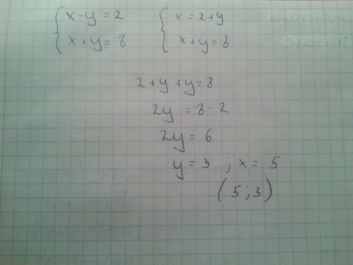
x-y=2 x+y=8
Как найти пару чисел?
Ответы
Автор ответа:
0
метод сложения
2х=10
х=5
5-у=2
у=3 (5;3)
2х=10
х=5
5-у=2
у=3 (5;3)
Автор ответа:
0
см во вложениях
----------------------
----------------------
Приложения:
Похожие вопросы
Предмет: Информатика,
автор: Аноним
Предмет: Математика,
автор: sveta0909019
Предмет: Английский язык,
автор: kirill10dka
Предмет: Алгебра,
автор: devchenka1998