Предмет: Алгебра,
автор: Aradia00
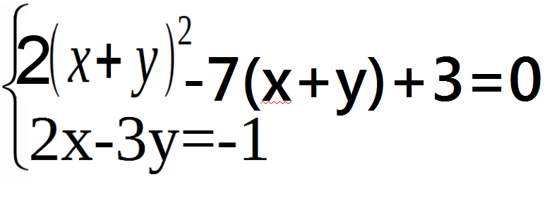
Здравствуйте,помогите пожалуйста решить систему уравнений методом введения новых переменных,желательно на листке бумаги и как можно скорее,заранее спасибо!!
Приложения:
Ответы
Автор ответа:
0
Похожие вопросы
Предмет: Биология,
автор: ti553619
Предмет: Математика,
автор: tuimebaevaarailym
Предмет: Қазақ тiлi,
автор: Alixan1307
Предмет: История,
автор: Melpomena
Предмет: Информатика,
автор: даринамрпв