Предмет: Алгебра, автор: DaMzik

x-7y=0
12x+y=17
решить систему методом подсатновки

Ответы

Автор ответа: Anastsiia
0
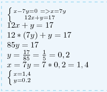
Выразим с первого уравнения системы х и после подставим во второе уравнение:
 left { {{x-7y=0  =>x=7y} atop {12x+y=17}} right.  \ 12x+y=17 \ 12*(7y)+y=17 \ 85y=17 \ y= frac{17}{85}= frac{1}{5}=0,2 \ x=7y=7*0,2=1,4 \  left { {{x=1,4} atop {y=0.2}} right.
Приложения:
Похожие вопросы