Предмет: Математика,
автор: shipuirkira81
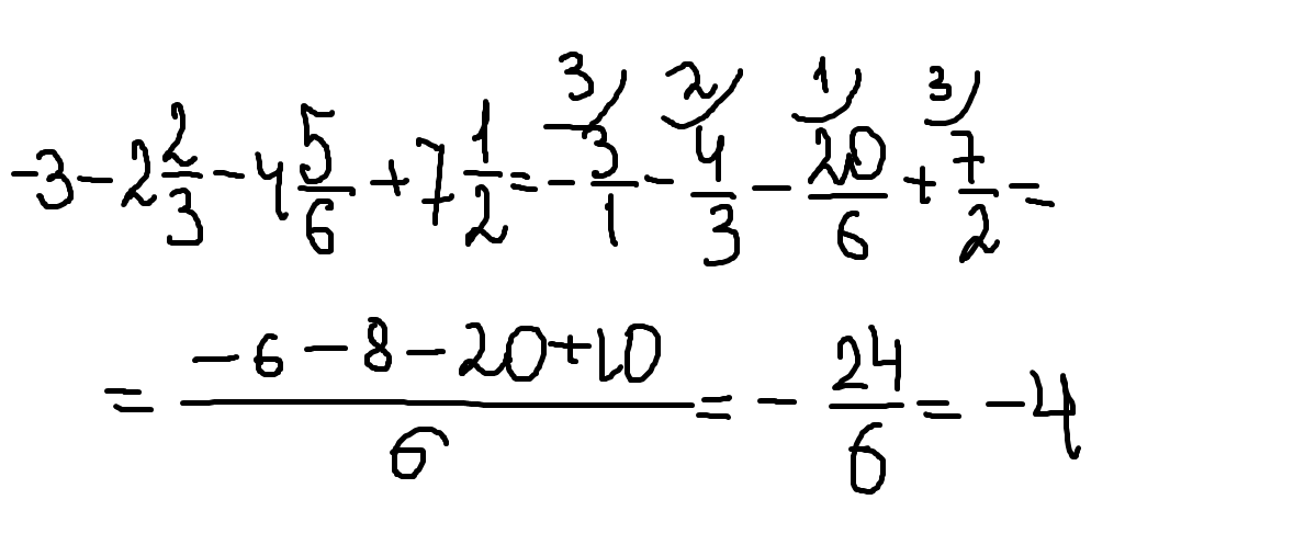
-3- 2 2/3 - 4 5/6 + 7 1/2 =?
Помогите решить пожалуйста.
Ответы
Автор ответа:
0
умножаем числа на дробь, затем приводим к общему знаменателю 6 , дописываем доп. числа, считаем, делим и все. чтобы лучше понять вот фото.
Приложения:
Похожие вопросы
Предмет: Физика,
автор: shveczmaks
Предмет: Химия,
автор: Jokerdjd
Предмет: География,
автор: uliaguskova871
Предмет: Математика,
автор: Ванёк548
Предмет: Математика,
автор: Arlenka