Предмет: Математика,
автор: HEGDH
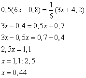
решить уравнение: 0,5(6x-0,8)=1/6(3x+4,2) Решите плиз! Срочно нужно!
Ответы
Автор ответа:
0
=================================================
Приложения:
Похожие вопросы
Предмет: Математика,
автор: sofatymcuk99
Предмет: География,
автор: dosmatovamadina
Предмет: Русский язык,
автор: ZVER000001
Предмет: Химия,
автор: хонда
Предмет: Математика,
автор: Krasotka1551