Предмет: Химия,
автор: Pulse
Помогите дать название веществу:
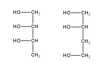
Если это поможет, то это трёхатомный спирт
Ответы
Автор ответа:
0
Это скорее всего бутантриол
Автор ответа:
0
Название:
1,2,3-бутантриол или 1,2,4-бутантриол
Приложения:
Похожие вопросы
Предмет: Математика,
автор: chhhanellll
Предмет: Математика,
автор: sonyakoldunova
Предмет: Физика,
автор: Shironage678
Предмет: Химия,
автор: klerka
Предмет: Алгебра,
автор: Juliakov