Предмет: Математика,
автор: Вероника1010
Решите пожалуйста задачу .
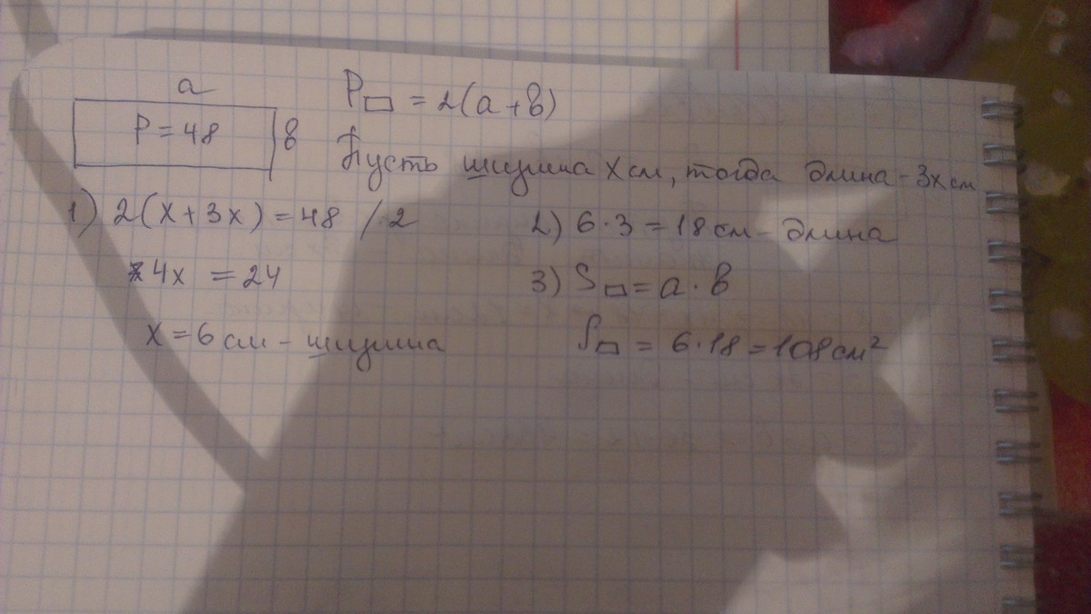
Периметр прямоугольника 48 см . Найди площадь прямоугольника , если его ширина в 3 раза меньше его длины .
Ответы
Автор ответа:
0
Надеюсь, что Вы разберетесь в этом вопросе :)
Приложения:
Автор ответа:
0
Тут уже без x. a и b - это стороны прямоугольника. Это формула S=a*b. Какая тогда у вас формула нахождения площади прямоугольника?
Автор ответа:
0
сейчас
Автор ответа:
0
b = S : а
Автор ответа:
0
Ну это же тоже самое. b=S/a, а отсюда S=a*b
Автор ответа:
0
понятно
Похожие вопросы
Предмет: Информатика,
автор: artemavtov73
Предмет: Физкультура и спорт,
автор: Аноним
Предмет: История,
автор: nikita89956
Предмет: Физика,
автор: lenchik85
Предмет: Биология,
автор: 28021999