Предмет: Математика,
автор: pbaenova
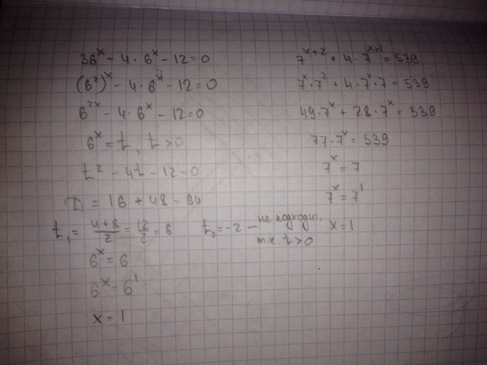
Помогите пожалуйста )))
Приложения:
Ответы
Автор ответа:
0
4^x=64 4^x=4^3 x=3
3^x=81 3^x=3^4 x=4
(1/2)^x=1/64 (1/2)^x=(1/2)^6 x=6
3^x=81 3^x=3^4 x=4
(1/2)^x=1/64 (1/2)^x=(1/2)^6 x=6
Приложения:
Автор ответа:
0
если что-то не понятно то пиши)
Похожие вопросы
Предмет: Математика,
автор: elenanorkina777
Предмет: Биология,
автор: Аноним
Предмет: История,
автор: aitbaiasylzha
Предмет: Математика,
автор: kleo354
Предмет: Биология,
автор: mistackopulo