Предмет: Алгебра,
автор: veronika3097
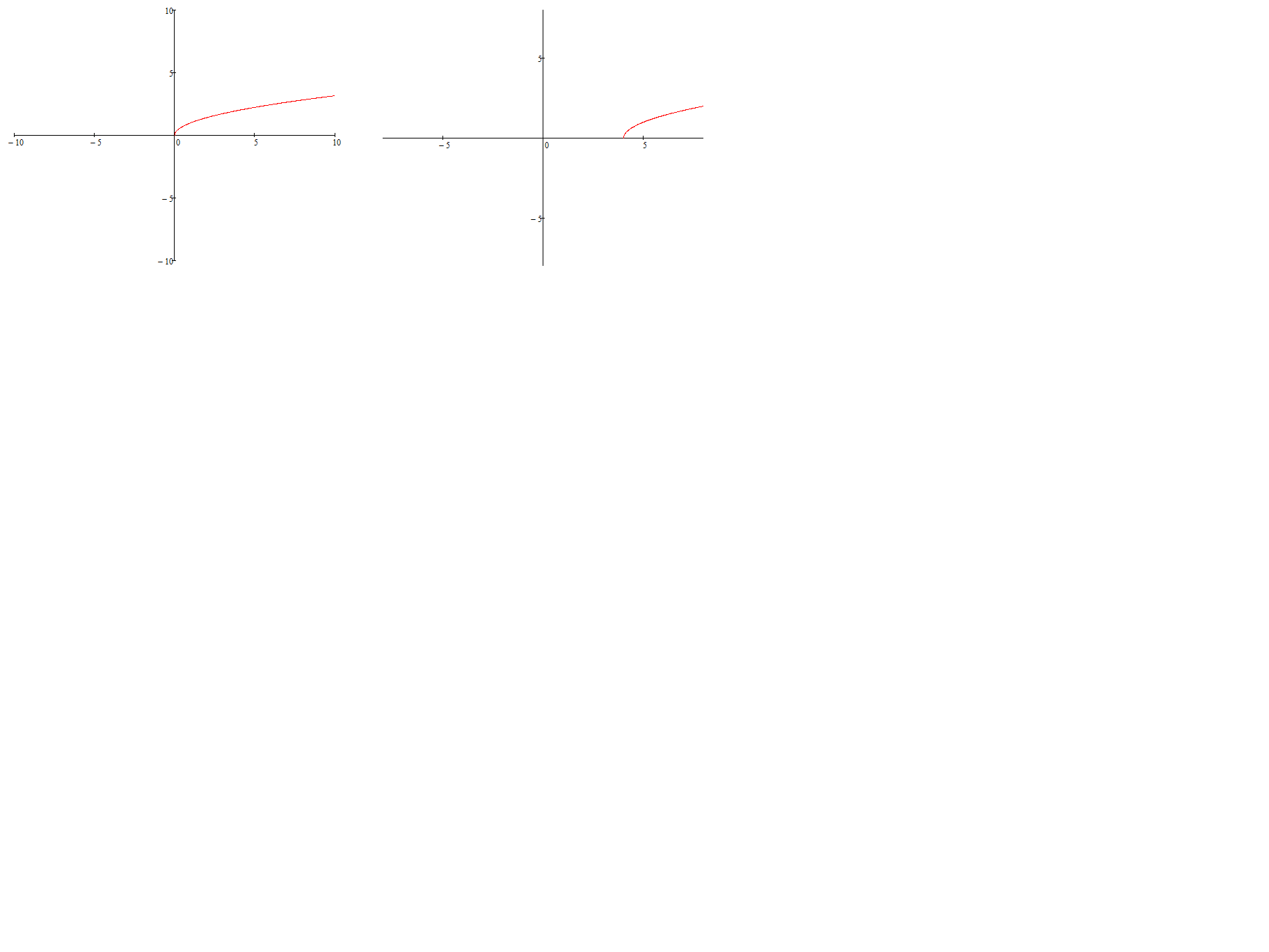
y=корень из х у=корень из х-4 нарисовать график
Ответы
Автор ответа:
0
Слева график y=корень из х
Справа у=корень из х-4
Приложения:
Автор ответа:
0
на первом графике - корень из х
На втором графике - корень из (х-4)
На третьем графике - корень из х -4
Приложения:
Похожие вопросы
Предмет: Русский язык,
автор: mariaafanacievna
Предмет: Английский язык,
автор: Kamila9211
Предмет: Русский язык,
автор: omarovibraim
Предмет: Математика,
автор: максиж