Предмет: Алгебра, автор: gorelnikov99

объясните как это решать) Спасибо)

Приложения:

Ответы

Автор ответа: manyny06
0
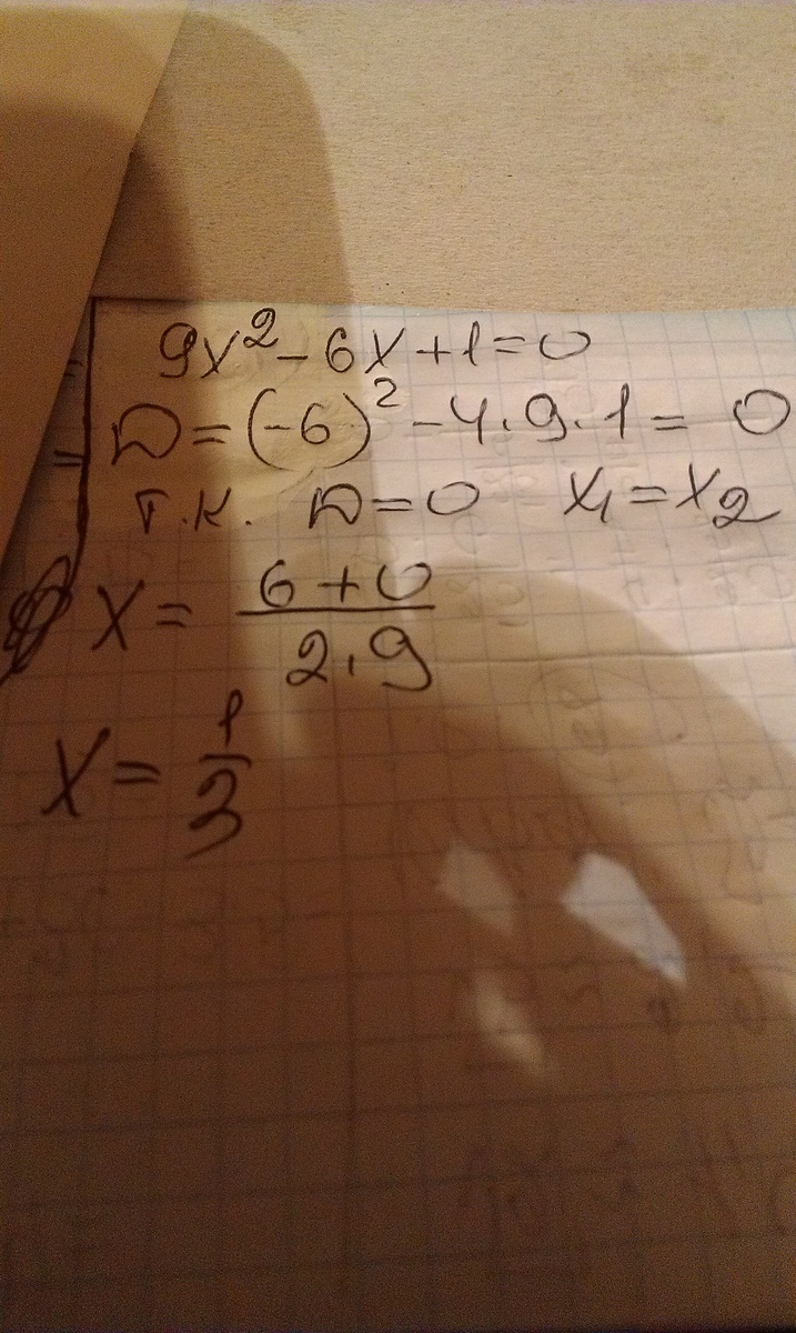
решение смотри на фотографии
Приложения:
Автор ответа: gorelnikov99
0
а через дискрименант?)
Автор ответа: manyny06
0
сейчас напишу через дискриминант
Автор ответа: manyny06
0
есть?
Автор ответа: gorelnikov99
0
да,есть) спасибо
Похожие вопросы
Предмет: Геометрия, автор: Аноним
Предмет: География, автор: helppeerr1