Предмет: Физика,
автор: inna230100
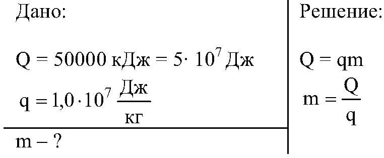
При полном сгорании сухих дров выделилось 50 000 кДж энергии. Какая масса дров сгорела?
Ответы
Автор ответа:
0
Вот так как то!!!!!!!!!!!!!!!!
Приложения:
Похожие вопросы
Предмет: Математика,
автор: Аноним
Предмет: Русский язык,
автор: anikulina305
Предмет: Алгебра,
автор: saidov33
Предмет: Геометрия,
автор: Аноним