Предмет: Физика,
автор: Vladimir2228
какое количество теплоты потребуется для обращения в пар 100 г эфира , имеющую температуру 5 градусов ?
Ответы
Автор ответа:
0
дано(1 картинка)
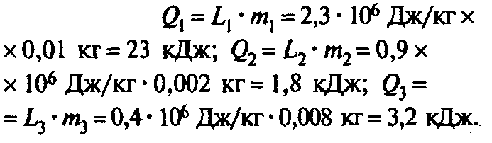
решение:(2 картинка)
решение:(2 картинка)
Приложения:
Похожие вопросы
Предмет: Литература,
автор: Аноним
Предмет: Химия,
автор: knopkaaman
Предмет: Қазақ тiлi,
автор: rs4806632
Предмет: Математика,
автор: 123789vika
Предмет: Математика,
автор: Elvira123456