Предмет: Химия,
автор: Enourmous
Помогите пожалуйста
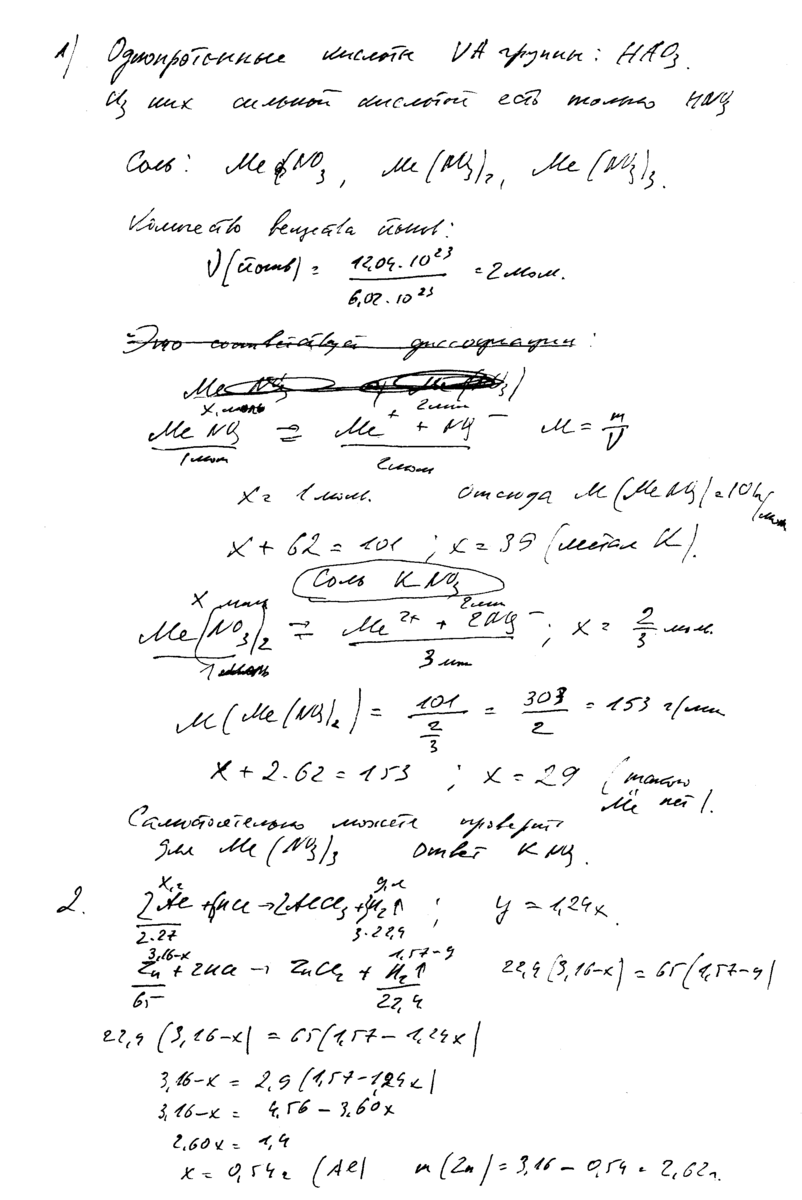
1)101 г. соли, образованной однопрoтонной сильной кислотой, в которой кислотообразующий элемент находится в VA группе таблицы периодической системы химических элементов и имеет степень окисления +5, полностью диссоциирует с образованием 12,04 · 1023 ионов. Определите химическую формулу соли. Напишите уравнение реакции диссоциации.
2) Для определения состава смеси порошков алюминия и цинка к 3,16 г. навески прибавили соляной кислоты и измерили объем водорода, выделившегося в результате реакции. Объем равнялся 1,57 дм3 (н.у.). Рассчитайте массы содержавшихся в смеси алюминия и цинка.
Ответы
Автор ответа:
0
Успіхів!!!!!!!!!!!!!!!
Успехов!!!!!!!!!!!!!!!!
Успехов!!!!!!!!!!!!!!!!
Приложения:
Автор ответа:
0
Спасибо большое
Похожие вопросы
Предмет: Литература,
автор: Аноним
Предмет: История,
автор: karasevda2006
Предмет: Литература,
автор: lenavolkova1105
Предмет: Физика,
автор: sophiasviridova