Предмет: Алгебра,
автор: ksnitsaryuk
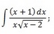
ПОМОГИТЕ ПОЖАЛУЙСТА! очень нужна помощь,не могу разобраться,зарание огромное спасибо!!!
Приложения:
Ответы
Автор ответа:
0
Вложение ..............................................
Приложения:
Автор ответа:
0
Спасибо огромное!!!очень помогли!!
Похожие вопросы
Предмет: Математика,
автор: fastikqqq
Предмет: География,
автор: 123459876A
Предмет: Математика,
автор: Аноним
Предмет: Литература,
автор: zh04061998
Предмет: География,
автор: Skwidi14