Предмет: Математика,
автор: sew810i9
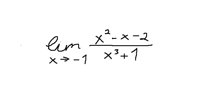
Найти предел. Пожалуйста с пояснением. Как быть с третьей степенью в знаменателе?
Приложения:
Ответы
Автор ответа:
0
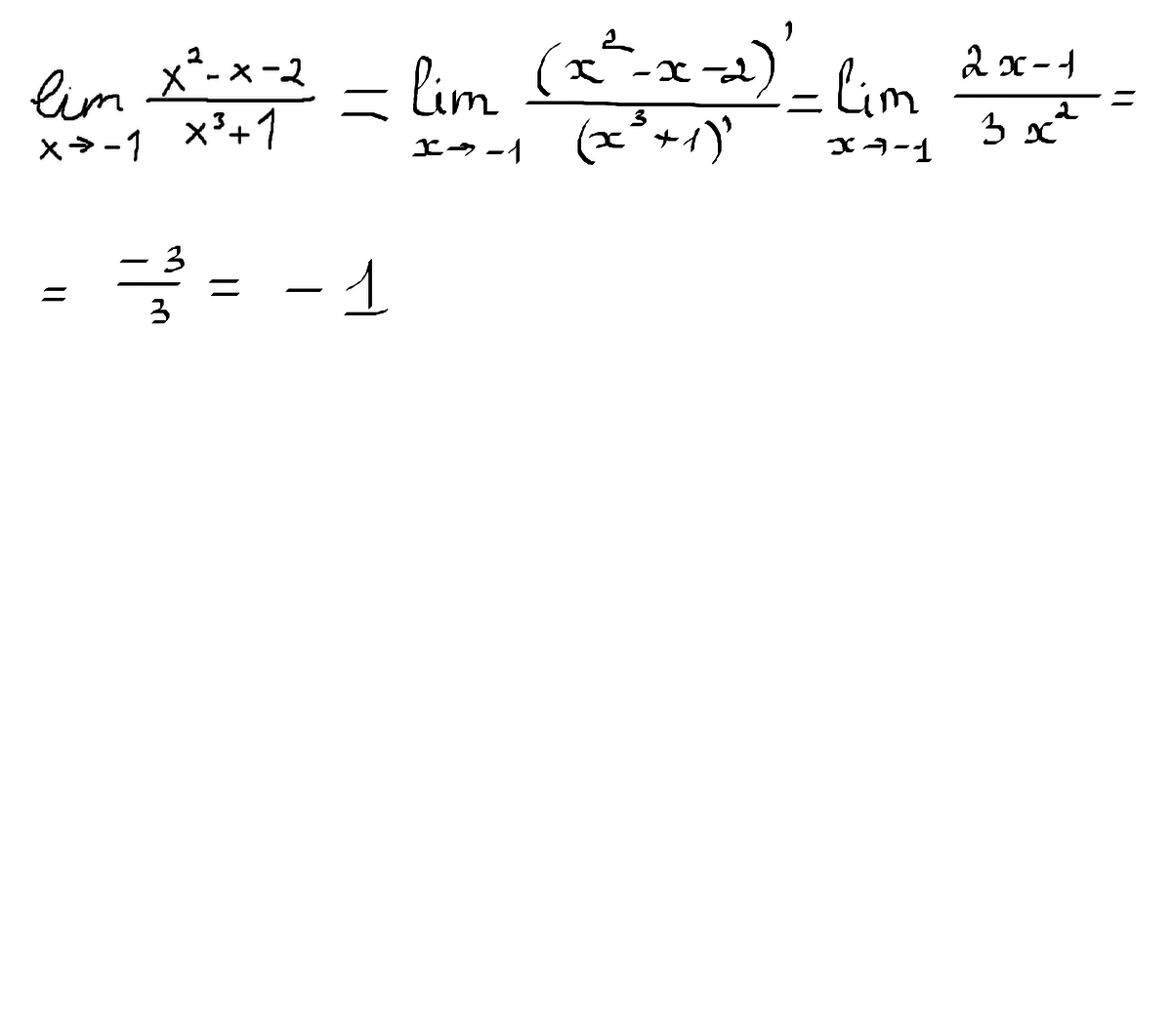
Подставив -1 получим неопределенность вида 0/0. Используем правило Лопиталя для вычисления этой границы
Приложения:
Похожие вопросы
Предмет: Информатика,
автор: ulybinkostya
Предмет: Математика,
автор: stronggmail
Предмет: Русский язык,
автор: Аноним
Предмет: Математика,
автор: карус
Предмет: Алгебра,
автор: neonsvr