Предмет: Геометрия,
автор: Анна00007
Объясните мне, кто сможет, как решаются это задачи по геометрии! Хотелось бы, знать как они решаются!
√ - корень.. .
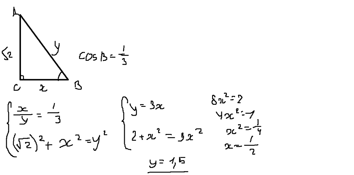
1. В треугольнике ABC угол C равен 90, АС = √ 2, соsB= 1/3. Найдите АВ.
2. В треугольнике ABC угол C равен 90, АВ = 3, соs B = 0,75. Найдите ВС.
3. В треугольнике ABC угол C равен 90, АС =6√2, sinA = 1/3.Найдите АВ.
4. В треугольнике ABC угол C равен 90, АВ =√ 17, tgB=4. Найдите ВС.
5. В треугольнике ABC угол C равен 90 угол В равен 60, ВС = 2,5. Найдите АВ.
6. В треугольнике ABC угол C равен 90 угол А равен 30, АС=5√ 3. Найдите АВ.
7. В треугольнике ABC угол C равен 90, АВ = √ 0,6, сos B = 0,25. Найдите АС.
8. В треугольнике ABC угол C равен 90, ВС =√5, sinA = 2/3. Найдите АС.
9. В треугольнике ABC угол C равен 90, АВ =8,5, tgB = 0,75. Найдите АС.
Заранее спасибо!! ! Очень надо! Пожалуйста!
Ответы
Автор ответа:
0
Тебе нужно значит, что такое косинус, синус и тангенс. Косинунс - отношение прилежащего катета к гипотенузе, синус - отношение противолежащего катета к гипотенузе, тангенс - отношение синуса к ксоинусу или противполежищего катета к прилежащему. И все. Пользуешься этим и решаешь. Вот первая задача. Правда, еще нужно применять теорему Пифагора.
Приложения:
Автор ответа:
0
Скажи , а вот "В треугольнике ABC угол C равен 90, АВ =√ 17, tgB=4. Найдите ВС." КАк решать! Тангес - сину к косинуса. не получается.....,?
Автор ответа:
0
Обозначаешь сторону буквой х, ищешь по теореме пифагора другую и делаешь отношение противолежащго катета к прилежащему, оно будет равно 4
Автор ответа:
0
Спасибо!!!
Похожие вопросы
Предмет: Геометрия,
автор: linkacom777
Предмет: Геометрия,
автор: Turbo2332
Предмет: Қазақ тiлi,
автор: BakdauletFf
Предмет: Математика,
автор: andreymerlich
Предмет: История,
автор: Поворёнок